অষ্টম শ্রেণী গণিত – বীজগাণিতিক সংখ্যামালার গুন ও ভাগ – কষে দেখি – 4.2

Rahul

পশ্চিমবঙ্গ মধ্যশিক্ষা পর্ষদের (WBBSE) অষ্টম শ্রেণির গণিত পাঠ্যবইয়ের চতুর্থ অধ্যায় হলো ‘বীজগাণিতিক সংখ্যামালার গুন ও ভাগ’। এই পোস্টে আমরা ‘কষে দেখি – 4.2’-এর সমস্ত প্রশ্নের সহজ ও নির্ভুল সমাধান নিয়ে আলোচনা করেছি। আশা করি, এই নোটসগুলো তোমাদের গণিত শিখতে এবং পরীক্ষার প্রস্তুতিতে দারুণভাবে সহায়তা করবে।

অষ্টম শ্রেণী গণিত – বীজগাণিতিক সংখ্যামালার গুন ও ভাগ – কষে দেখি – 4.2
Contents Show

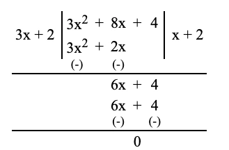
1. দুটি সংখ্যার গুণফল \(3x^2 + 8x + 4\) এবং একটি সংখ্যা \(3x + 2\) হলে, অপর সংখ্যাটি হিসাব করে লিখি।

সমাধান –

অপর সংখ্যাটি হবে \((3x^2 + 8x + 4) \div (3x + 2)\)

বীজগাণিতিক সংখ্যামালার গুন ও ভাগ

\(\therefore\) অপর সংখ্যাটি হবে \(x + 2\)।

2. একটি আয়তক্ষেত্রের ক্ষেত্রফল \((24x^2 -65xy +21y^2)\) বর্গ সেমি. এবং দৈর্ঘ্য \((8x-3y)\) সেমি. হলে প্রস্থ হিসাব করে লিখি।

সমাধান –

আয়তক্ষেত্রের প্রস্থ = ক্ষেত্রফল ÷ দৈর্ঘ্য = \((24x^2 -65xy +21y^2) \div (8x-3y)\)

একটি আয়তক্ষেত্রের ক্ষেত্রফল 24x2 65xy 21y2 বর্গ সেমি. এবং দৈর্ঘ্য 8x 3y সেমি

\(\therefore\) আয়তক্ষেত্রের প্রস্থ \((3x -7y)\) সেমি.।

3. একটি ভাগ অঙ্কে ভাজ্য \(x^4 + x^3y + xy^3 + y^4\) এবং ভাজক \(x^2 + xy – y^2\), ভাগফল ও ভাগশেষ হিসাব করে লিখি।

সমাধান –

একটি আয়তক্ষেত্রের ক্ষেত্রফল 24x2 65xy 21y2 বর্গ সেমি

\(\therefore\) নির্ণেয় ভাগফল \((x^2 + y^2)\) এবং ভাগশেষ \(0\)।

4. ভাগ করি

(a) \((m^2 + 4m – 21)\) কে \((m – 3)\) দিয়ে

সমাধান –

(m2 +4m-21) কে (m-3) দিয়ে

\(\therefore\) নির্ণেয় ভাগফল \((m+7)\) এবং ভাগশেষ \(0\)।

(b) \((6c^2 – 7c + 2)\) কে \((3c – 2)\) দিয়ে

সমাধান –

6c2 7c 2 কে 3c 2 দিয়ে

\(\therefore\) নির্ণেয় ভাগফল \((2c-1)\) এবং ভাগশেষ \(0\)।

(c) \((2a^4 – a^3 – 2a^2 + 5a – 1)\) কে \((2a^2 + a – 3)\) দিয়ে

সমাধান –

(2a4 –a3 -2a2 +5a-1) কে (2a2 +a-3) দিয়ে

\(\therefore\) নির্ণেয় ভাগফল \((a^2 – a + 1)\) এবং ভাগশেষ \((a+2)\)।

(d) \((m^4 – 2m^3 – 7m^2 + 8m + 12)\) কে \((m^2 – m – 6)\) দিয়ে

সমাধান –

m4 2m3 7m28m12 কে m2 –m 6 দিয়ে

\(\therefore\) নির্ণেয় ভাগফল \((m^2 – m – 2)\) এবং ভাগশেষ \(0\)।

5. (a) \((6x^2a^3 – 4x^3a^2 + 8x^4a^2) \div 2a^2x^2\)

সমাধান –

\((6x^2a^3 – 4x^3a^2 + 8x^4a^2) \div 2a^2x^2\)

= \( \frac{6x^2a^3 – 4x^3a^2 + 8x^4a^2}{2a^2x^2}\)

= \( \frac{6x^2a^3}{2a^2x^2} – \frac{4x^3a^2}{2a^2x^2} + \frac{8x^4a^2}{2a^2x^2}\)

= \( 3 \cdot a^{3-2} – 2 \cdot x^{3-2} + 4 \cdot x^{4-2}\)

= \( 3a – 2x + 4x^2\)

5. (b) \(\frac{2y^9x^5}{5x^2} \times \frac{125xy^5}{16x^4y^{10}}\)

সমাধান –

\(\frac{2y^9x^5}{5x^2} \times \frac{125xy^5}{16x^4y^{10}}\)

= \( \frac{2}{5} \times \frac{125}{16} \times \frac{y^9 \cdot x^5 \cdot x \cdot y^5}{x^2 \cdot x^4 \cdot y^{10}}\)

= \( \frac{25}{8} \times \frac{y^{9+5} \cdot x^{5+1}}{x^{2+4} \cdot y^{10}}\)

= \( \frac{25}{8} \times \frac{y^{14} \cdot x^6}{x^6 \cdot y^{10}}\)

= \( \frac{25}{8} \times y^{14-10} \times x^{6-6}\)

= \( \frac{25}{8} \times y^4 \times x^0\)

= \( \frac{25y^4}{8}\)

5. (c) \(\frac{7a^4y^2}{9a^2} \times \frac{729a^6}{42y^6}\)

সমাধান –

\(\frac{7a^4y^2}{9a^2} \times \frac{729a^6}{42y^6}\)

= \( \frac{7}{9} \times \frac{729}{42} \times \frac{a^4y^2}{a^2} \times \frac{a^6}{y^6}\)

= \( \frac{27}{2} \times \frac{a^{4+6}y^2}{a^2y^6}\)

= \( \frac{27}{2} \times \frac{a^{10}y^{2-6}}{a^2}\)

= \( \frac{27}{2} \times a^{10-2} y^{2-6}\)

= \( \frac{27}{2} \times a^8y^{-4}\)

= \( \frac{27a^8}{2y^4}\)

5. (d) \((p^2q^2r^5 – p^3q^5r^2 + p^5q^3r^2) \div p^2q^2r^2\)

সমাধান –

\((p^2q^2r^5 – p^3q^5r^2 + p^5q^3r^2) \div p^2q^2r^2\)

= \( \frac{p^2q^2r^5 – p^3q^5r^2 + p^5q^3r^2}{p^2q^2r^2}\)

= \( \frac{p^2q^2r^5}{p^2q^2r^2} – \frac{p^3q^5r^2}{p^2q^2r^2} + \frac{p^5q^3r^2}{p^2q^2r^2}\)

= \( p^{2-2}q^{2-2}r^{5-2} – p^{3-2}q^{5-2}r^{2-2} + p^{5-2}q^{3-2}r^{2-2}\)

= \( p^0q^0r^3 – p^1q^3r^0 + p^3q^1r^0\)

= \( r^3 – pq^3 + p^3q\)

6. কোনো ভাগ অঙ্কে ভাজক \((x-4)\), ভাগফল \((x^2+4x+4)\) ও ভাগশেষ \(3\) হলে ভাজ্য কত হিসাব করে লিখি।

সমাধান –

ভাজক = \( (x-4)\), ভাগফল = \( (x^2+4x+4)\) ও ভাগশেষ = \( 3\)

আমরা জানি, ভাজ্য = (ভাজক \(\times\) ভাগফল) \(+\) ভাগশেষ

\(\therefore\) ভাজ্য = \( (x-4) \times (x^2+4x+4) + 3\)

= \( x^3+4x^2 + 4x -4x^2 -16x -16 +3\)

= \( x^3 -12x -13\)

7. কোনো ভাগ অঙ্কে ভাজক \((a^2 +2a-1)\), ভাগফল \((5a-14)\) এবং ভাগশেষ \((35a -17)\) হলে ভাজ্য কত হবে হিসাব করে লিখি।

সমাধান –

ভাজক = \( (a^2 +2a-1)\), ভাগফল = \( (5a-14)\), ভাগশেষ = \( (35a -17)\)

আমরা জানি, ভাজ্য = (ভাজক \(\times\) ভাগফল) \(+\) ভাগশেষ

\(\therefore\) ভাজ্য = \( (a^2 +2a-1) \times (5a-14) + (35a -17)\)

= \( (5a^3+10a^2 -5a-14a^2-28a +14) +(35a -17)\)

= \( 5a^3+10a^2 -5a-14a^2-28a +14 + 35a -17\)

= \( 5a^3 -4a^2+ 2a -3\)

8. ভাগ করে ভাগফল ও ভাগশেষ লিখি

(i) \((x^2+ 11x +27) \div (x +6)\)

সমাধান –

ভাগ করে ভাগফল ও ভাগশেষ লিখি 1

\(\therefore\) নির্ণেয় ভাগফল \((x+5)\) এবং ভাগশেষ \(-3\)।

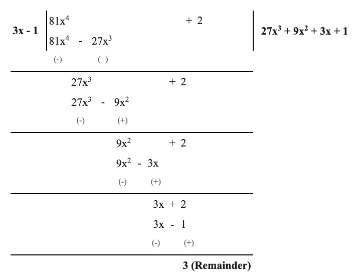
(ii) \((81x^4+2) \div (3x-1)\)

সমাধান –

(81x4+2) ÷ (3x-1)

\(\therefore\) নির্ণেয় ভাগফল \((27x^3+9x^2+3x+1)\) এবং ভাগশেষ \(3\)।

(iii) \((63x^2 -19x -20) \div (9x^2+5)\)

সমাধান –

ভাগ করে ভাগফল ও ভাগশেষ লিখি 3

\(\therefore\) নির্ণেয় ভাগফল \(7\) এবং ভাগশেষ \((-19x-55)\)।

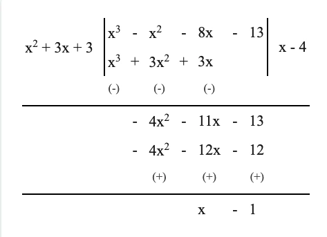
(iv) \((x^3 – x^2 -8x-13) \div (x^2+3x+3)\)

সমাধান –

(x3 –x2 -8x-13) ÷ (x2+3x+3)

\(\therefore\) নির্ণেয় ভাগফল \((x-4)\) এবং ভাগশেষ \((x-1)\)।


এই আর্টিকেলে অষ্টম শ্রেণির গণিতের ‘বীজগাণিতিক সংখ্যামালার গুন ও ভাগ’ অধ্যায়ের ‘কষে দেখি – 4.2’-এর সমস্ত গাণিতিক সমস্যার সমাধান তুলে ধরেছি। আশা করি, এই পোস্টটি আপনাদের বা শিক্ষার্থীদের পরীক্ষার প্রস্তুতিতে সহায়ক হবে। কোনো প্রশ্ন, মতামত বা সাহায্যের প্রয়োজন হলে নিচে কমেন্ট করতে পারেন অথবা সরাসরি আমাদের টেলিগ্রাম চ্যানেলে যোগাযোগ করুন। আমরা আপনাদের সব প্রশ্নের উত্তর দেওয়ার জন্য সর্বদা প্রস্তুত।

Please Share This Article

Related Posts

ভারতীয় সংবিধান-গণতন্ত্রের কাঠামো ও জনগণের অধিকার-অষ্টম শ্রেণি ইতিহাস-বিশ্লেষণধর্মী প্রশ্ন উত্তর

অষ্টম শ্রেণি ইতিহাস – ভারতীয় সংবিধান: গণতন্ত্রের কাঠামো ও জনগণের অধিকার – বিশ্লেষণধর্মী প্রশ্ন উত্তর

ভারতীয় সংবিধান-গণতন্ত্রের কাঠামো ও জনগণের অধিকার-অষ্টম শ্রেণি ইতিহাস-ব্যাখ্যামূলক প্রশ্ন উত্তর

অষ্টম শ্রেণি ইতিহাস – ভারতীয় সংবিধান: গণতন্ত্রের কাঠামো ও জনগণের অধিকার – ব্যাখ্যামূলক প্রশ্ন উত্তর

ভারতীয় সংবিধান-গণতন্ত্রের কাঠামো ও জনগণের অধিকার-অষ্টম শ্রেণি ইতিহাস-সংক্ষিপ্ত প্রশ্ন উত্তর

অষ্টম শ্রেণি ইতিহাস – ভারতীয় সংবিধান: গণতন্ত্রের কাঠামো ও জনগণের অধিকার – সংক্ষিপ্ত প্রশ্ন উত্তর

About The Author

Rahul

Tags

Leave a Comment

SolutionWbbse

"SolutionWbbse" শিক্ষার্থীদের জন্য একটি অনলাইন অধ্যয়ন প্ল্যাটফর্ম। এখানে প্রতিযোগিতামূলক পরীক্ষার প্রস্তুতি, মাধ্যমিক পরীক্ষার জন্য গাইডলাইন, এবং বিভিন্ন বিষয়ে পড়াশোনার সাহায্য প্রদান করা হয়। আমাদের মূল লক্ষ্য হলো ইন্টারনেটের মাধ্যমে সকল বিষয়ের শিক্ষণীয় উপকরণ সহজেই সকল শিক্ষার্থীর কাছে পৌঁছে দেওয়া।

Editor Picks

নাইট্রোজেন চক্রের ওপর মনুষ্য ক্রিয়াকলাপের প্রভাব – মাধ্যমিক জীবনবিজ্ঞান

শারীরবৃত্তীয় শুষ্ক মৃত্তিকা বলতে কী বোঝো? শ্বাসমূল বা নিউম্যাটোফোর কী?

ক্যাকটাসের মূল ও পাতার অভিযোজনগত বৈশিষ্ট্য – মাধ্যমিক জীবনবিজ্ঞান

মুখ্য অভিযোজন এবং গৌণ অভিযোজন কাকে বলে? এদের পার্থক্য | মাধ্যমিক জীবনবিজ্ঞান

মুখ্য জলজ প্রাণী ও গৌণ জলজ প্রাণী বলতে কী বোঝো?